Acasă > Stiri Botosani > MODELUL declarației pe proprie răspundere: O poți completa integral de mână - FOTO

MODELUL declarației pe proprie răspundere: O poți completa integral de mână - FOTO

Obligația completării declarației pe proprie răspundere se instituie începând cu ora 20.00 a zilei de 28 martie, pentru localitățile în care incidența îmbolnăvirilor la 1000 de locuitori este mai mare de 4, respectiv de 7,5.

 

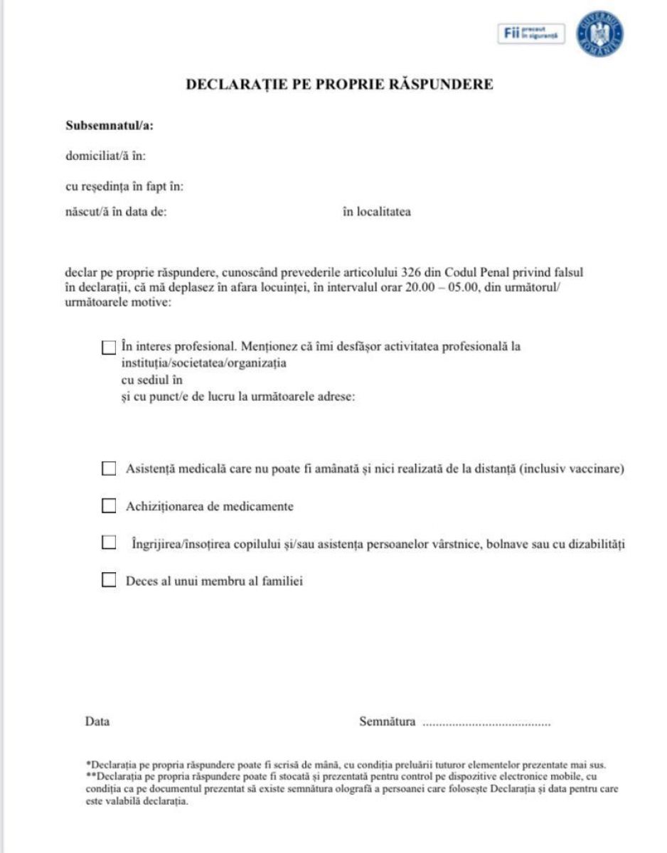
Declarația pe propria răspundere poate fi completată integral olograf (de mână), cu preluarea tuturor elementelor prevăzute în modelul oficial.

 

Declarația pe proprie răspundere referitoare la circulația persoanelor în afara locuinței/gospodăriei, în intervalul orar 20.00 - 05.00, este obligatorie în localitățile în care incidența cumulată în ultimele 14 zile este mai mare de 4 la 1.000 de locuitori și mai mică de 7,5 la 1.000 de locuitori, pentru zilele de vineri, sâmbătă și duminică și pe întreaga durată a săptămânii, în localitățile în care incidența cumulată în ultimele 14 zile este mai mare de 7,5 la 1.000 de locuitori.

 

De asemenea, declarația pe proprie răspundere completată/adeverința eliberată de angajator se va afla în posesia persoanei care efectuează deplasarea, împreună cu documentul de identitate, și va fi pusă la dispoziția reprezentanților Poliției Române și ai Jandarmeriei Române, la momentul legitimării persoanei.   

 

Potrivit Hotărârii Guvernului nr. 308 din 26.03.2021, obligația completării declarației pe proprie răspundere se instituie începând cu ora 20.00 a zilei de 28 martie a.c., pentru localitățile în care incidența îmbolnăvirilor la 1000 de locuitori este mai mare de 4, respectiv de 7,5.

 

Modelele de declarație pe propria răspundere și al adeverinței eliberate de angajator pot fi descărcate accesând link-ul https://cetrebuiesafac.ro/modele-declaratii, precum și accesând pagina web a Ministerului Afacerilor Interne, secțiunea UTILE.

 

 

DESCARCĂ APLICATIA BOTOSĂNEANUL PENTRU MOBIL:

download from google play download from apple store

Abonează-te, citește Botosaneanul.ro fără reclamă și comentează cât vrei

Autentificare