Acasă > Ancheta săptămânii > Guvernul și-a deșertat sacul cu bani înainte de Crăciun! Împărțeală pe bază de mușchi politici, primari „pedepsiți” că nu-s pesediști sau liberali - DOCUMENT

Guvernul și-a deșertat sacul cu bani înainte de Crăciun! Împărțeală pe bază de mușchi politici, primari „pedepsiți” că nu-s pesediști sau liberali - DOCUMENT

  • Fondurile repartizate la nivel național au fost extrem de generoase, semn că Guvernul a făcut economii spre final de an urmare a măsurilor de austeritate adoptate și a supraimpozitării firmelor private.
  • Au fost împărțiți în județe aproape 1,6 miliarde de lei sau echivalentul a 316 milioane de euro.

 

1.580.907.000 lei

este mai exact suma prevăzută într-o Hotărâre de Guvern adoptată în apropierea Zilei Naționale a României privind alocarea unor sume din Fondul de rezervă bugetară la dispoziția Executivului, pe anul 2023, pentru unele unități administrativ teritoriale.

 

Guvernul a aprobat suplimentarea sumelor defalcate din taxa pe valoarea adăugată pentru echilibrarea bugetelor locale pentru plata unor cheltuieli curente și de capital.

 

Pe lângă primării, au primit fonduri și consiliile județene pentru achitarea arieratelor provenite din neplata cheltuielilor curente, pentru susținerea programelor de dezvoltare locală și pentru susținerea proiectelor de infrastructură care necesită cofinanțare locală.

 

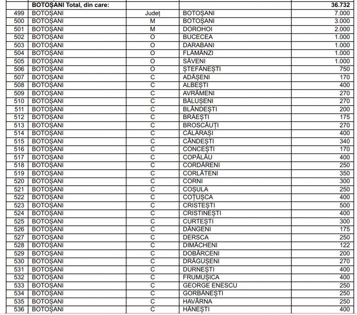
Județul Botoșani a primit o sumă totală de 36.732.000 de lei.

 

Undeva la 7,3 milioane de euro.

 

Deși pare că guvernanții au arătat generozitate pentru unul dintre județele care domină topurile la subdezvoltare și sărăcie, în realitate, Botoșani s-a aflat pe locul 25 la nivel național la repartizarea bugetară. Adică undeva la mijlocul clasamentului.

 

Și din acest punct de vedere s-a evidențiat influența pe care o au liderii politici județeni la nivel național. Pentru că județul vecin, spre exemplu, condus de Gheorghe Flutur, a beneficiat de o sumă de 53 de milioane de lei, adică aproape 11 milioane de euro.

 

Cele mai mari fonduri au fost direcționate către Prahova, respectiv 56 de milioane de lei, județul fiind condus de liberalul Iulian Dumitrescu. Dolj a primit 51 de milioane de lei, Bihor și Argeș câte 48 de milioane, iar Bacău 43 de milioane.  

 

Județul Botoșani, între PSD și PNL 

 

Revenind la repartizarea pentru județul Botoșani, pe unități administrativ teritoriale, favorizate au fost de departe primăriile conduse de primari care fac parte din partidele aflate la putere, adică PSD și PNL.

 

Pe principalele unități administrativ teritoriale, alocările au fost făcute după cum urmează:

 

  • Consiliul Județean – 7 milioane de lei
  • Primăria Botoșani – 3 milioane de lei
  • Primăria Dorohoi – 2 milioane de lei
  • Primăria Bucecea – 1 milion de lei
  • Primăria Darabani – 1 milion de lei
  • Primăria Flămânzi – 1 milion de lei
  • Primăria Săveni – 1 milion de lei
  • Primăria Ștefănești – 750.000 de lei

 

Mihai Eminescu și Cristești

 

au fost comunele cu cel mai mare dar din sacul lui Moș Crăciun, respectiv câte 500.000 de lei fiecare.

 

Alte comune, precum Călărași, Copălău, Coțușca, Cristinești, Durnești, Frumușica, Hănești, Ibănești sau Leorda s-au regăsit la pragul de 400.000 de lei.  

 

Apoi lista a continuat cu acele primării care au primit sume diferențiate sub acest nivel, între 350.000 de lei și 120.000 de lei (cea mai mică alocare).

 

8 primării sub pragul 200.000 de lei

 

În această categorie se află cu precădere primarii independenți sau din alte partide decât cele aflate la guvernare și astfel fără conexiuni serioase la nivel județean și național. Cu două excepții: Adășeni și Ripiceni.

 

Adășeni – 175.000 lei Constantin Drăsleucă (PSD)

Brăești – 175.000 lei Adrian Nistor (Pro România)

Concești – 170.000 lei Costel Nazare (independent)

Dângeni – 175.000 lei Claudiu Ilaș (Pro România)

Dimăcheni - 122.000 Marinel Moruz (USR)

Ripiceni – 190.000 lei Gabriel Talef (PNL)

Românești – 150.000 lei Dumitru Buzoianu (ALDE)

Sulița – 120.000 lei George Popescu (PMP)

 

Unul dintre primarii independenți este Costel Nazare de la Concești, care susține că sfârșitul anului trecut l-a găsit într-o situație financiară delicată, fiind în imposibilitatea de a finaliza lucrările la una dintre școlile din comună.

 

A transmis că nu a avut excedent bugetar pe anul trecut și a cerut ajutor, printr-o alocare financiară mai consistentă, din fondul de rezervă al Guvernului.

 

„Avem o situație deosebită privind investiția «Reabilitare, modernizare și extindere Școala Gimnazială nr. 1 Concești». Proiectul a fost depus în anul 2018 și aprobat în luna septembrie 2022 cu termen de finalizare 31 decembrie 2023. Ca urmare a creșterii semnificative a prețurilor, a crescut și valoarea proiectului, comuna Concești având de plătit din bugetul local suma de 3.358.252,32 lei, ceea ce reprezintă tot bugetul comunei Concești pe mai mult de 1 an”

a transmis în solicitarea de alocare a fondurilor bugetare

 

Apelul a fost lansat pentru ca Primăria să poată finaliza proiectul și în condițiile în care la partea de cofinanțări necesarul era de 3.511.452 lei, arieratele se ridicau la 50.000 de lei, iar pentru utilități erau necesari 330.000 lei.

 

A primit 170.000 de lei fiindcă ”nu sunt din gașca politică”

 

„Eu am cerut mai mult, dar sunt independent și nu sunt din gașca politică. Are d-na președintă o problemă cu ăștia independenți și de la alte partide. 100% a fost politic, noi la ce proiecte avem, 11 proiecte. Numai la școală aveam 780.000 de lei restanțe, plus celelalte proiecte, plus restanțe o lună la salarii, dar în fine”,

Costel Nazare, primarul comunei Concești

 

Revolta primarului de la Concești nu s-a regăsit în atitudinea colegului de la Dângeni, Claudiu Ilaș, ales pe listele Pro România, care s-a mulțumit cu cât a primit: „Sincer să vă spun, e clar că am avut nevoie de mult mai mulți bani, dar asta este situația. Probabil alții au cerut mult mai mult decât mine.Și colegul primar de la Brăești, la fel a primit. Sincer, nu am pus întrebări prea multe. Ce mai putem face după?”.

 

„Așa a fost... na”

 

Menționat ca făcând parte din rândul primarilor vitregiți financiar, primarul de Brăești a avut o reacție cumva neașteptată.

 

„Așa am primit... am avut nevoie, toată lumea, nu cred că a fost primar care nu a avut nevoie de bani. Mulți au avut proiecte, mai ales cofinanțări pe Anghel Saligny, pe PNRR, dar așa a fost, na. Probabil, după numărul de locuitori, suntem printre cei mai mici, de asta am și primit suma asta. Nu toată lumea a fost mulțumită, nu vă gândiți că toți de la PNL sau de la PSD au fost mulțumiți. Asta este, ce să mai discutăm? Am primit ce am primit, mi-am făcut treaba cu cât am avut, ne-am descurcat”,

Adrian Nistor, primarul comunei Brăești

 

Și un primar care nu are nevoie de bani

 

Liberalul Gabriel Talef a povestit că nu a avut nevoie neapărată de bani și s-a descurcat cu cât a avut.

 

„Atât am cerut. Că se dă mai mult sau mai puțin, asta nu pot să comentez eu. (...) De asta nici nu am cerut mai mult, eu cât am cerut atât mi s-a dat”,

Gabriel Talef, primarul comunei Ripiceni

 

Cel mai nedreptățit din județ

 

Tânărul George Popescu a devenit primar la Sulița în 2020 pe listele Partidului Mișcarea Populară (PMP).

 

A avut o mare surpriză la finele anului trecut, când i s-a alocat cea mai mică sumă din județ: 120.000 de lei. Deși și în comunitatea sa nevoile sunt aceleași ca peste tot.

 

„Eu sunt surprins că am primit, pentru că în primii doi ani de mandat nu am primit nimic. Zero, puteți verifica. În 2021 sau 2022 au fost două rectificări, una prin septembrie și una tot așa, prin octombrie-noiembrie. Acum e prima dată când am primit. M-am mirat că au scăpat ceva bani și la Sulița”,

George Popescu, primarul comunei Sulița

 

A tot încercat să tragă semnale de alarmă la liderii politici de la București. Că nu sunt vinovați botoșănenii din Sulița de faptul că el face parte dintr-un partid care nu a ajuns la putere.

 

„Noi am făcut pe linie politică același lucru, am încercat să aducem la cunoștința Guvernului la repartizare, prin președintele de partid la nivel național: da, da, da vor primi și ai voștri. Nu am primit, de asta nici nu mi-am făcut speranțe vreodată din banii ăștia. Și nevoia este foarte mare, toate comunele care au proiecte și eu mă pot bate de la egal la egal cu comunele care au proiecte și e nevoie într-adevăr de cofinanțări”,

George Popescu, primarul comunei Sulița

 

Practica împărțirii fondurilor în funcție de coloratura politică este bine împământenită în sistemul politico-administrativ din România și este un instrument prin care primarii pot fi controlați.

 

 

Abonează-te, citește Botosaneanul.ro fără reclamă și comentează cât vrei

Autentificare